arulesNBMiner - Mining NB-Frequent Itemsets and NB-Precise Rules - R package

CRAN version CRAN RStudio mirror downloads Travis-CI Build Status AppVeyor Build Status

This R package extends package arules with NBMiner, an implementation of the model-based mining algorithm for mining NB-frequent itemsets presented in “Michael Hahsler. A model-based frequency constraint for mining associations from transaction data. Data Mining and Knowledge Discovery, 13(2):137-166, September 2006.” In addition an extension for NB-precise rules is implemented.

Installation

Stable CRAN version: install from within R with

install.packages("arulesNBMiner")

Current development version: Download package from AppVeyor or install from GitHub (needs devtools).

install_git("mhahsler/arulesNBMiner")

Usage

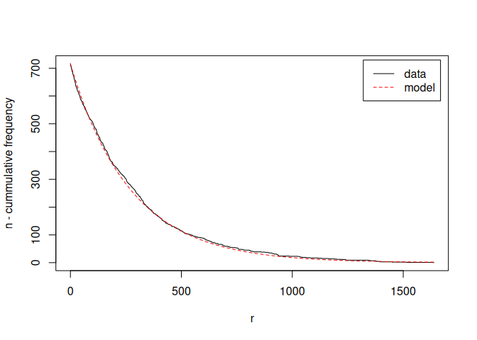
Estimate NBD model parameters

library(arulesNBMiner)
data("Agrawal")
param <- NBMinerParameters(Agrawal.db, pi=0.99, theta=0.5, maxlen=5,
     minlen=1, trim = 0, verb = TRUE, plot=TRUE) 
using Expectation Maximization for missing zero class
iteration = 1 , zero class = 2 , k = 1.08506 , m = 278.7137 
total items =  716 

Mine NB-frequent itemsets

itemsets_NB <- NBMiner(Agrawal.db, parameter = param, 
     control = list(verb = TRUE, debug=FALSE))
parameter specification:
   pi theta   n       k           a minlen maxlen rules
 0.99   0.5 716 1.08506 0.001515447      1      5 FALSE

algorithmic control:
 verbose debug
    TRUE FALSE

Depth-first NB-frequent itemset miner by Michael Hahsler
Database with 20000 transactions and 1000 unique items

3507 NB-frequent itemsets found.
inspect(head(itemsets_NB))
  items                                     precision
1 {item494,item525,item572,item765,item775} 1.0000000
2 {item398,item490,item848}                 1.0000000
3 {item292,item793,item816}                 1.0000000
4 {item229,item780}                         0.9964852
5 {item111,item149,item715}                 1.0000000
6 {item91,item171,item902}                  1.0000000

References